近日,食品与生物工程学院农产品贮藏与加工团队饶瑜教授等人在国际食品顶级期刊《Food Microbiology》(Q1,IF:4.6)发表题为“Ecological presence and functional role of bacteriophages in fermented vegetables”的综述论文。在国际微生物学领域权威期刊《Microorganisms》(Q2,IF:4.2)发表题为“Isolation, Characterization, and Preliminary Application of Staphylococcal Bacteriophages in Sichuan Paocai Fermentation”的论文。西华大学硕士研究生林霞为论文第一作者,西华大学饶瑜教授和兰州大学刘蕾青年研究员为论文共同通讯作者,西华大学为论文第一完成单位。

论文截图(一)
“Ecological presence and functional role of bacteriophages in fermented vegetables”一文系统总结了发酵蔬菜核心微生物群落的动态演变规律,并深入综述了其中噬菌体的多样性与功能特性。通过整合前沿的多组学数据,研究团队成功解析了“噬菌体-宿主菌群-代谢产物”三者之间复杂的互作网络。研究发现,噬菌体并非传统认知中的“发酵破坏者”,而是通过精巧的裂解-溶原循环驱动微生物群落演替、影响产品风味品质。文章提出了宏基因组学与传统培养组学相结合的整合技术框架,为噬菌体资源库的建设和精准发酵调控技术的开发提供了方法论基础。这项研究不仅为理解发酵蔬菜中噬菌体的功能机制开辟了新视角,更为实现噬菌体精准调控的下一代发酵技术奠定了重要理论基础。

Graphical Abstract
噬菌体是一类特异性感染细菌的病毒,是地球上多样性最丰富、分布最广泛的生物实体。这类病毒具有高度简化的结构,主要由单链或双链核酸包裹在保护性蛋白质外壳中构成,以其微小尺寸和快速复制能力为特征。噬菌体呈现两种截然不同的生命周期:裂解周期和溶原周期。处于裂解周期的烈性噬菌体在感染宿主后会劫持宿主的代谢机制,合成病毒组件,组装子代病毒颗粒,最终通过裂解宿主细胞释放新的噬菌体。相比之下,温和噬菌体会将基因组整合到宿主DNA中形成原噬菌体,随宿主进行被动复制。在特定环境信号(如DNA损伤)刺激下,这类噬菌体可从溶原状态转换为裂解周期。

Figure 1. Core microbial types and their functional roles at each stage of the vegetable fermentation process.

Figure 2. Impacts of phages with different life cycles on vegetable fermentation processes (Virulent phages lyse host cells to release intracellular components, directly contributing to substrate transformation. The viral shunt regulates population densities of dominant species to maintain biodiversity. In contrast, temperate phages exert their effects via: (a) integration of AMGs into host metabolic networks to enhance metabolic capacity and optimize flavor compound synthesis; (b) HGT mediating the dissemination of virulence factors, antibiotic resistance genes, and environmental adaptation genes (e.g., acid tolerance genes) among microorganisms. This process confers novel functional traits to hosts, significantly improves their niche adaptation capabilities, and is a key driver of microbial community evolution. Collectively, these phage-host interactions maintain the dynamic equilibrium of microbial communities).

Figure 3. Schematic diagram of the effect of bacteriophages on the fermentation process of vegetables.
噬菌体的生态分布和功能活动与其宿主微生物群落及周边环境具有高度协同性。在土壤、水生系统、海洋生态系统和人类肠道等微生物富集生境中,噬菌体展现出显著的空间异质性和功能多样性。最新研究表明,噬菌体群落谱可作为生物地理标记,甚至能够区分发酵蔬菜的地理起源。当前研究热点主要集中于水生和陆地生态系统中的噬菌体生态学,而在食品科学领域,研究多聚焦于噬菌体对工业发酵过程的干扰作用。发酵蔬菜体系中的微生物群落以乳酸菌(LAB)为主导,其通过代谢产生氨基酸、多糖和维生素等生物活性化合物。这些乳酸菌构建了复杂的微生物互作网络,不仅驱动发酵进程,还显著影响产品的风味特征和质构特性。虽然环境因素(如盐度、温度和原料组成)对微生物群落构建的影响已获广泛认知,但噬菌体作为塑造发酵生态系统的关键调节者的作用长期被低估。实际上,通过动态的“捕食-进化”平衡机制,噬菌体持续影响着微生物群落的组成演替与功能表达。
本综述系统总结了微生物群落在蔬菜发酵过程中的核心机制作用。在此基础上,文章探讨了发酵蔬菜生态系统中噬菌体群落的多样性特征和生态功能,重点阐述了噬菌体通过“裂解-溶原”转换调控发酵微生物群落动态的分子机制。此外,本文全面归纳了包括噬菌体分离培养、基因组分析和功能表征在内的关键技术体系,为建立噬菌体资源库及开发基于噬菌体的发酵蔬菜调控技术提供了有价值的参考。

论文截图(二)
“Isolation, Characterization, and Preliminary Application of Staphylococcal Bacteriophages in Sichuan Paocai Fermentation”一文聚焦四川泡菜发酵体系中的葡萄球菌噬菌体,填补了传统发酵蔬菜噬菌体研究的空白。研究从四川泡菜中分离纯化得到3株葡萄球菌噬菌体 ΦSx-2、ΦSs-1和ΦSs-2,通过斑点试验筛选、16S rRNA基因测序确定其宿主分别为木糖葡萄球菌(Staphylococcus xylosus)和松鼠葡萄球菌(Staphylococcus sciuri)。经透射电镜观察,3株噬菌体均具二十面体头部和收缩性尾部,归类于有尾病毒目(Caudoviricetes);一步生长曲线显示其潜伏期约30分钟,ΦSx-2裂解期60分钟、爆发量83 PFU/细胞,ΦSs-1和 ΦSs-2裂解期均为90分钟,爆发量分别为98和6 PFU/细胞;耐受性试验证实它们在泡菜发酵的4.5%盐浓度及pH 4.0-6.0环境中保持活性。在泡菜发酵应用中,接种噬菌体组较对照组显著优化了微生物群落结构:乳酸菌(尤其是植物乳植杆菌)相对丰度提升,欧文氏菌、泛菌属等腐败菌减少。理化指标显示,噬菌体加速酸化进程,降低亚硝酸盐峰值(从12.50 mg/kg降至6.00 mg/kg),提高乳酸和乙酸含量,同时改善泡菜色泽(减少褐变、保持鲜亮)和风味特性。Spearman相关性分析表明葡萄球菌与腐败菌正相关、与乳酸菌负相关,揭示噬菌体可以通过裂解宿主间接调控菌群平衡。研究证实噬菌体可作为优化发酵过程、提升泡菜品质的绿色工具,为后续噬菌体鸡尾酒开发及作用机制研究奠定基础。

Figure 1. The plaque morphologies of phages ΦSx-2 (A), ΦSs-1 (B), and ΦSs-2 (C), as well as the transmission electron microscope images of phages ΦSx-2 (D), ΦSs-1 (E), and ΦSs-2 (F). Scale bar = 100 nm.

Figure 2. The one-step growth curves of phages ΦSx-2, ΦSs-1, and ΦSs-2 infecting their host bacteria in TSA medium (Circle: Growth curve of ΦSx-2; Square: Growth curve of ΦSs-1; Triangle: Growth curve of ΦSs-2). The values shown in the figures are the averages of three experiments.
噬菌体是特异性侵染细菌的病毒。作为自然界中无处不在的细菌捕食者,它们在发酵食品中广泛存在。通过特异性裂解其细菌宿主,噬菌体调控发酵系统内关键微生物的种群结构和数量。这些相互作用深刻影响发酵食品的风味、质地和营养价值。在实际应用中,噬菌体的功能特性已在韩国泡菜和中国醋等发酵食品的加工过程中得到充分验证。例如,研究表明在泡菜发酵初期引入针对特定腐败菌的噬菌体,可以有效抑制腐败并显著减少亚硝酸盐的生成。总之,噬菌体在发酵过程中调节微生物稳态方面发挥着关键作用,并具有作为调节发酵过程和提升产品品质的创新工具的潜力。

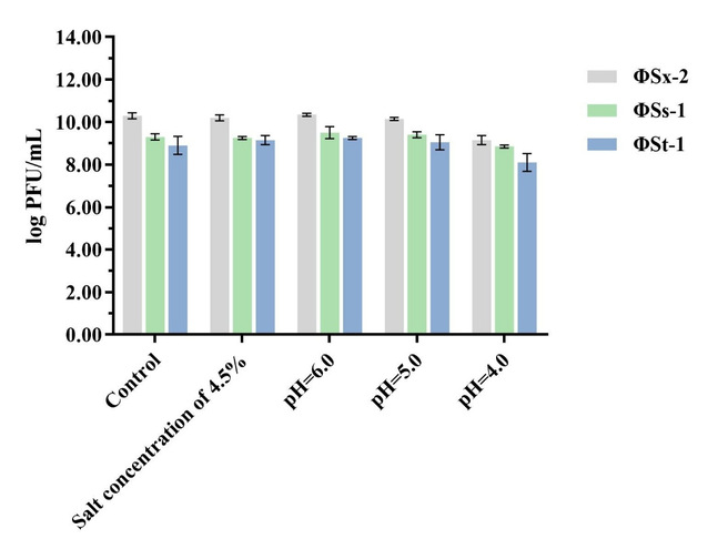
Figure 3. The survival of phages ΦSx-2, ΦSs-1, and ΦSs-2 under high salt concentration and low pH conditions. The values are the mean of three experiments, which showed no significant differences.

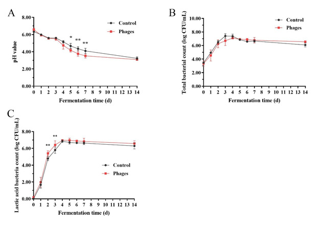
Figure 4. Changes in pH (A), total viable bacteria count (B), and lactic acid bacteria count (C) during the fermentation process of paocai (Control: paocai group without artificial inoculation of phages; Phages: paocai group with artificial inoculation of phages ΦSx-2, ΦSs-1, and ΦSs-2). Data are expressed as Mean ± SD (n=3). (*) p<0.05, (**) p<0.01.

Figure 5. Temporal changes in alpha diversity indices during paocai fermentation. (A) Chao1 index showing community richness; (B) Shannon index indicating community diversity. Error bars represent standard deviations of triplicate biological replicates(n=3).
四川泡菜作为中国传统发酵蔬菜的典型代表,以其独特风味、丰富营养及益生菌资源而备受关注,在中国市场中占据重要地位,年产值超过400亿元人民币。近年来,结合传统微生物培养与现代高通量测序技术,研究已初步表征了发酵过程中微生物群落的动态演替,并明确了乳酸菌等核心菌群的关键作用。然而,对于同样存在于发酵体系中的噬菌体,其组成与功能尚缺乏系统研究,这限制了对发酵微生态的全面解析。因此,深入开展四川泡菜中噬菌体的研究,不仅有助于填补这一知识空白,也为通过噬菌体调控优化发酵工艺、提升产品品质提供了新的思路。
本研究聚焦于从四川泡菜中分离得到的三种葡萄球菌噬菌体ΦSx-2、ΦSs-1和ΦSs-2。系统分析了它们的生物学特性,包括形态、pH稳定性和对不同盐浓度的耐受性。该研究还考察了它们在泡菜发酵过程中对微生物群落结构的影响,以及对pH、亚硝酸盐水平和有机酸浓度等关键理化指标的作用。通过本研究,我们旨在深化对噬菌体在传统发酵食品中生态功能的理论认识,并为基于噬菌体调控的发酵过程优化和亚硝酸盐控制新技术的开发提供新的应用思路。

Figure 6. Microbial diversity composition on the 0th, 7th, and 14th days of fermentation (A) Stacked bar chart showing the bacterial community composition at the genus level; (B) Stacked bar chart illustrating the relative abundance of Staphylococcus in the control group on the 7th day of fermentation; (C) Relative abundance of Staphylococcus across different groups. Mean ± SD (n=3). (ns) p > 0.05, (*) p<0.05.

Figure 7. The correlation matrix mainly belongs to Spearman's rank correlation between attributes. (*) p<0.05.

Figure 8. Changes in the contents of nitrite (A), total acid (B), lactic acid (C), and acetic acid (D) during the fermentation process of paocai. Data are expressed as Mean ± SD (n=3), (ns) p > 0.05, (*) p<0.05, (**) p<0.01, (***) p<0.001, (****) p < 0.0001.
作者简介:

林霞,西华大学食品与生物工程学院2023级硕士研究生,研究生在读期间以第一作者身份发表SCI论文两篇,获两次西华大学研究生学业奖学金一等奖,获一次西华大学研究生学业奖学金二等奖。

饶瑜,博士,西华大学食品与生物工程学院教授,硕士生导师,副院长。美国麻省大学阿默斯特分校(UMass Amherst)访问学者,四川省学术和技术带头人后备人选,四川省海外高层次留学人才。主要从事果蔬益生发酵与高值化利用、农产品加工与贮藏中的微生物问题研究。主持国家自然科学基金、四川省重点研发项目、四川省应用基础项目等多项。第一作者或通讯作者发表SCI收录论文20余篇,授权国家发明专利3项。为International Journal of Food Microbiology, Food Control,Food & Function等期刊审稿人。获省级科技进步三等奖1项、市级科技进步三等奖1项。四川省一流本科课程负责人,主编教材1部,参编专著1部、教材3部。

刘蕾,博士,兰州大学动物医学与生物安全学院青年研究员、硕士生导师。2017年毕业于中国农业大学食品生物技术专业。主要从事微生物资源挖掘、利用与控制等方面的教学与科研工作,主持国家自然科学基金青年基金、教育部春晖计划等项目。以第一作者或通讯作者在Food Hydrocollides、Food Research International、International Journal of Food Microbiology、Food & Function、Journal of Functional Foods、LWT - Food Science and Technology等著名Top期刊发表SCI收录论文20余篇。

